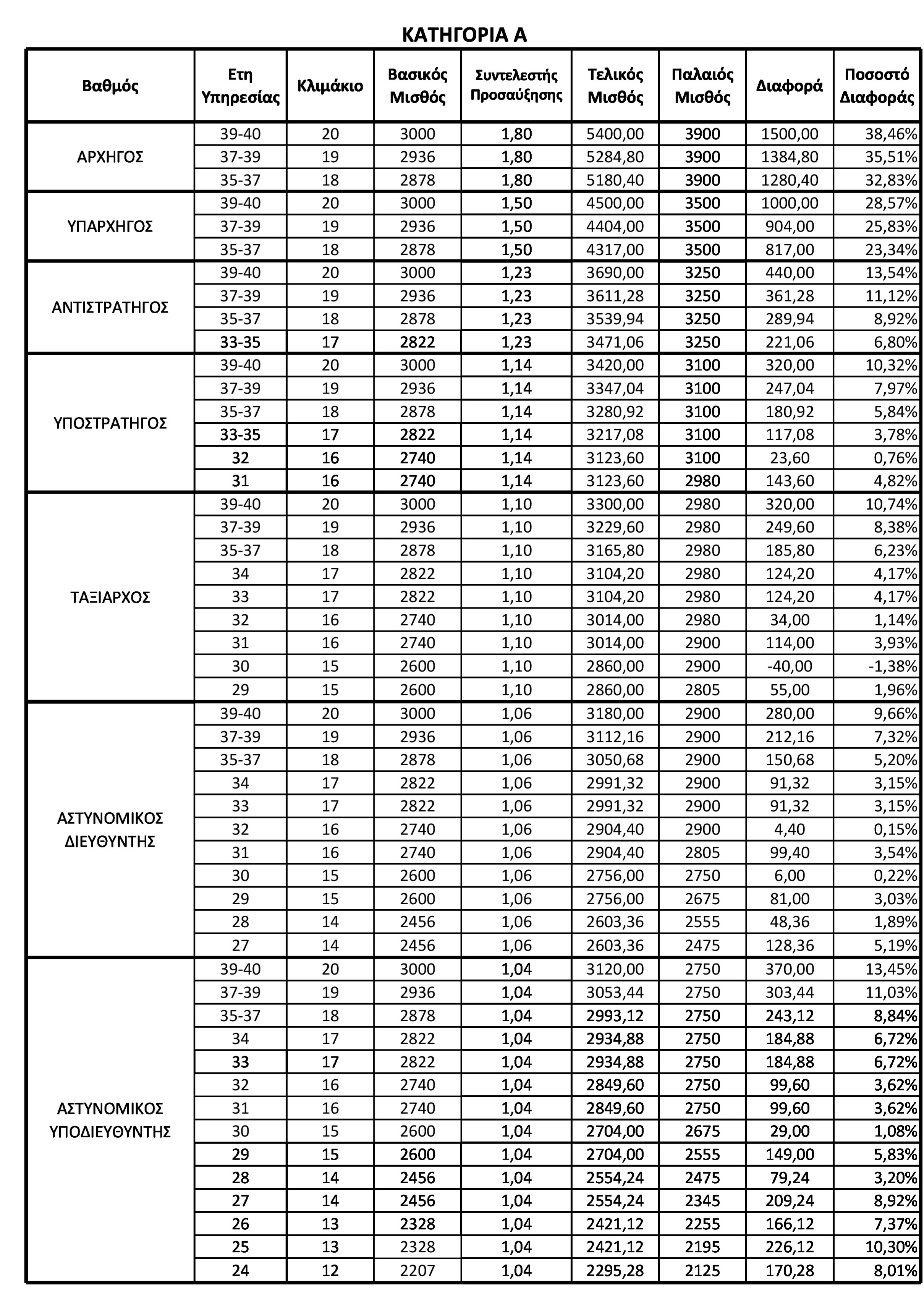
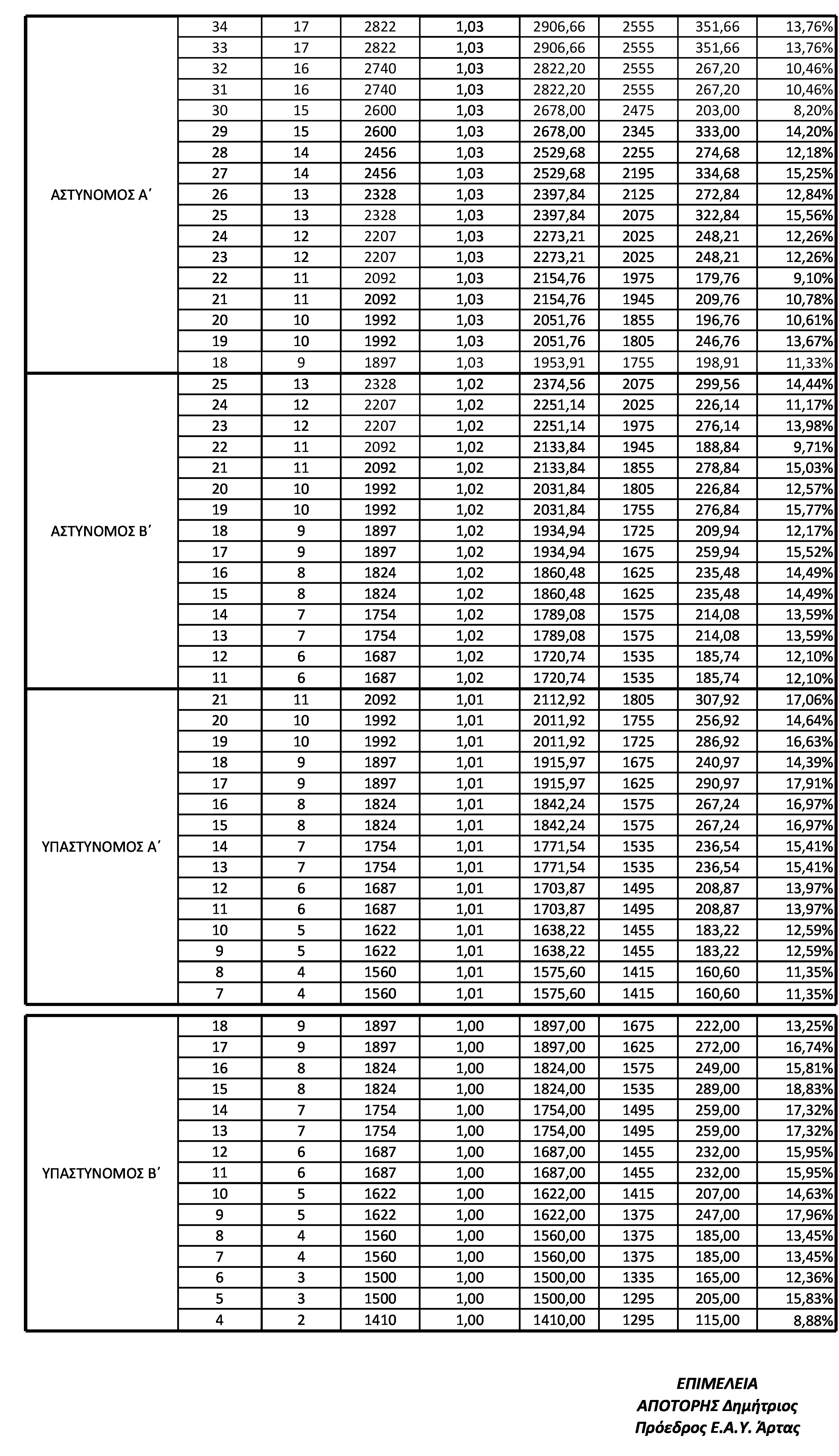
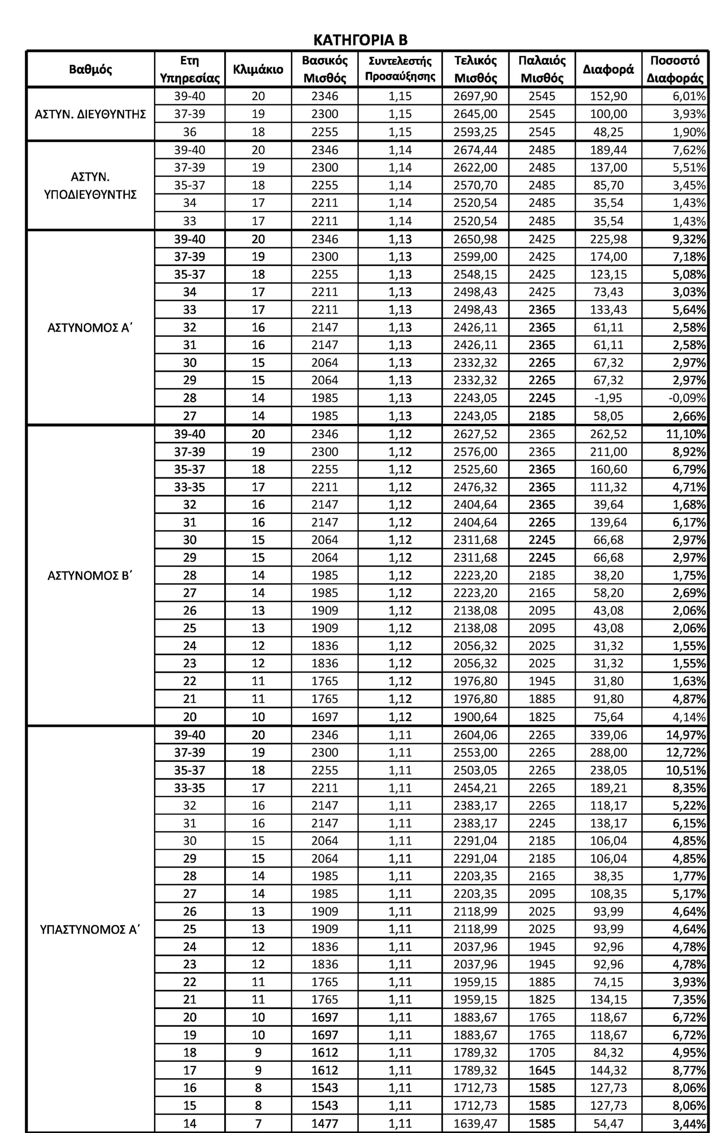
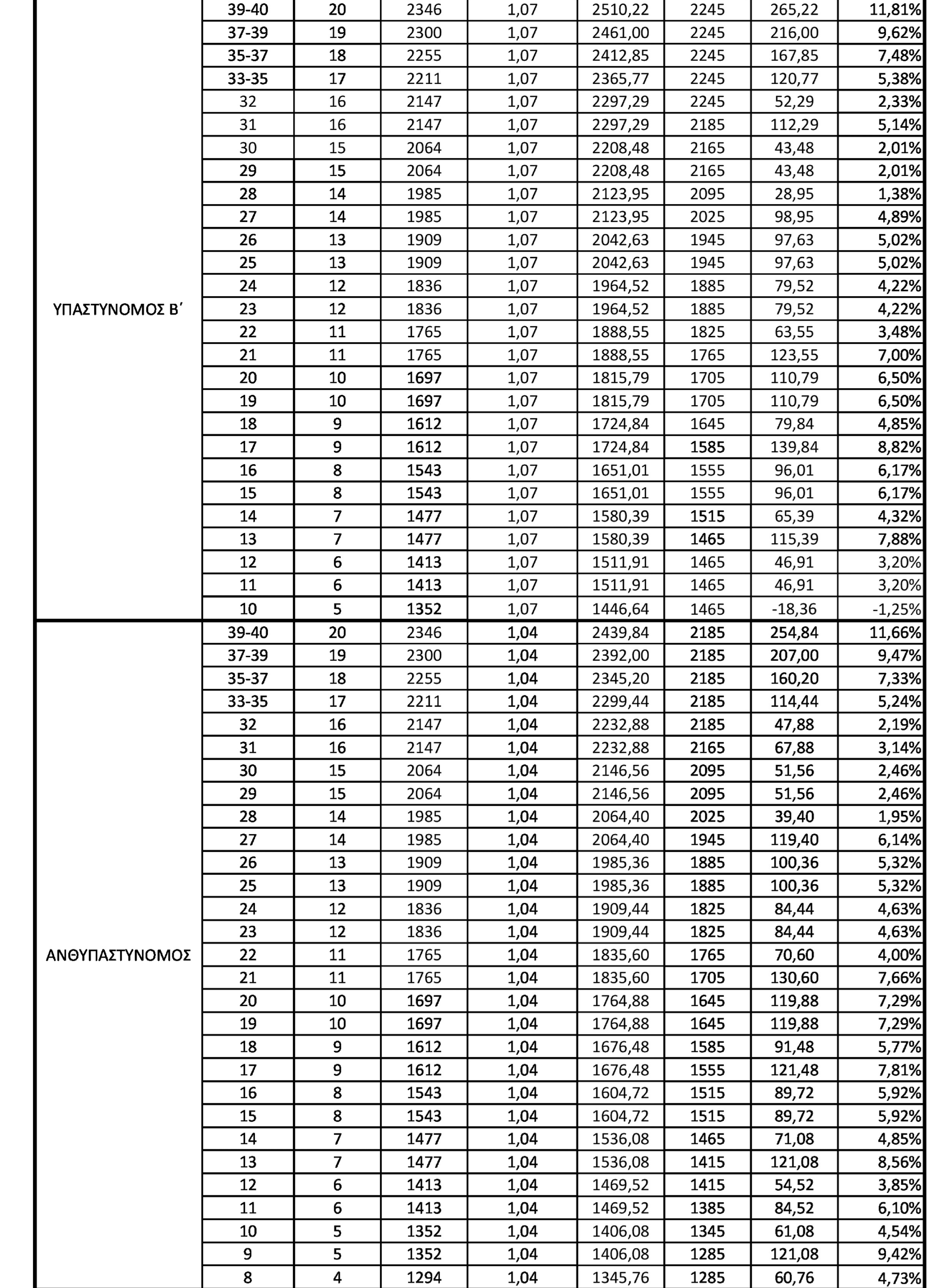
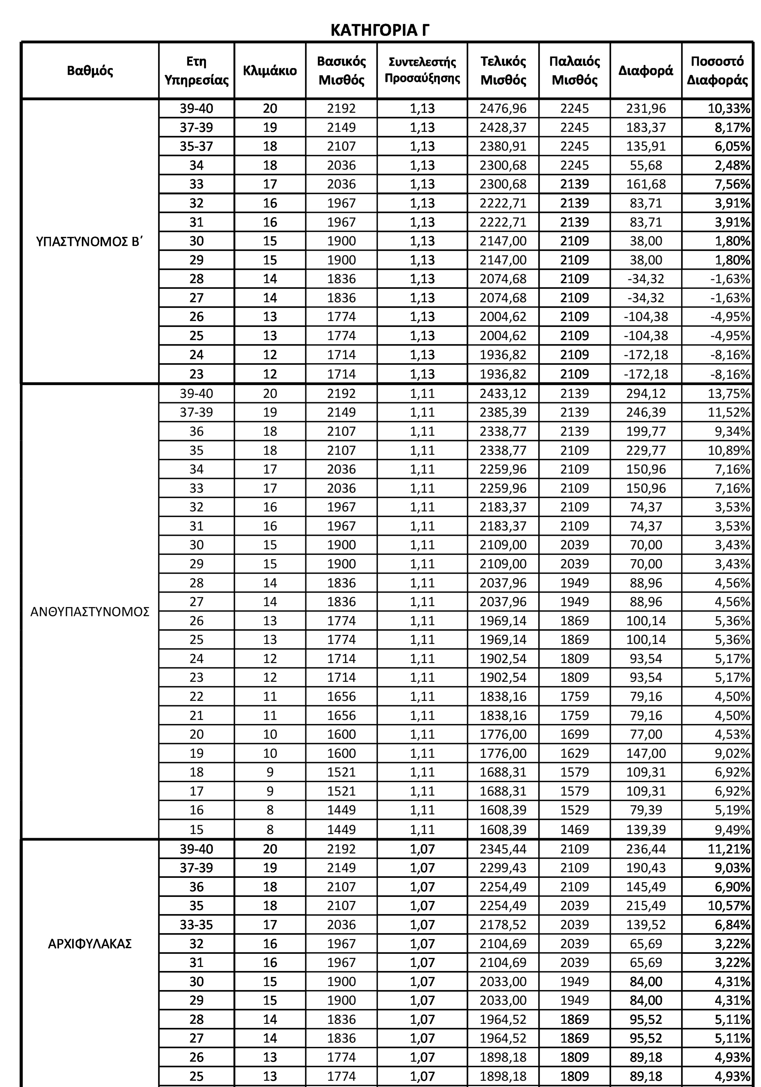
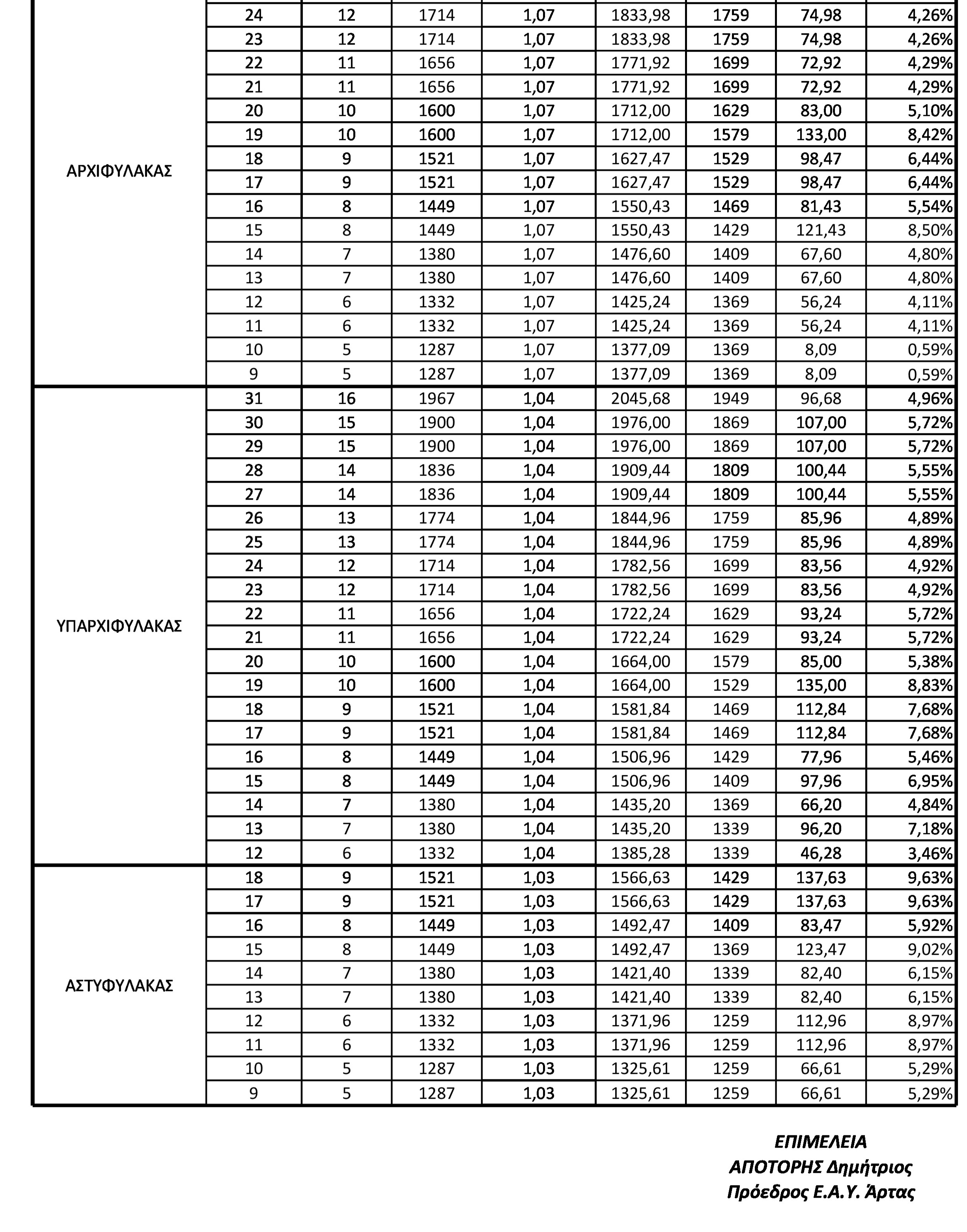
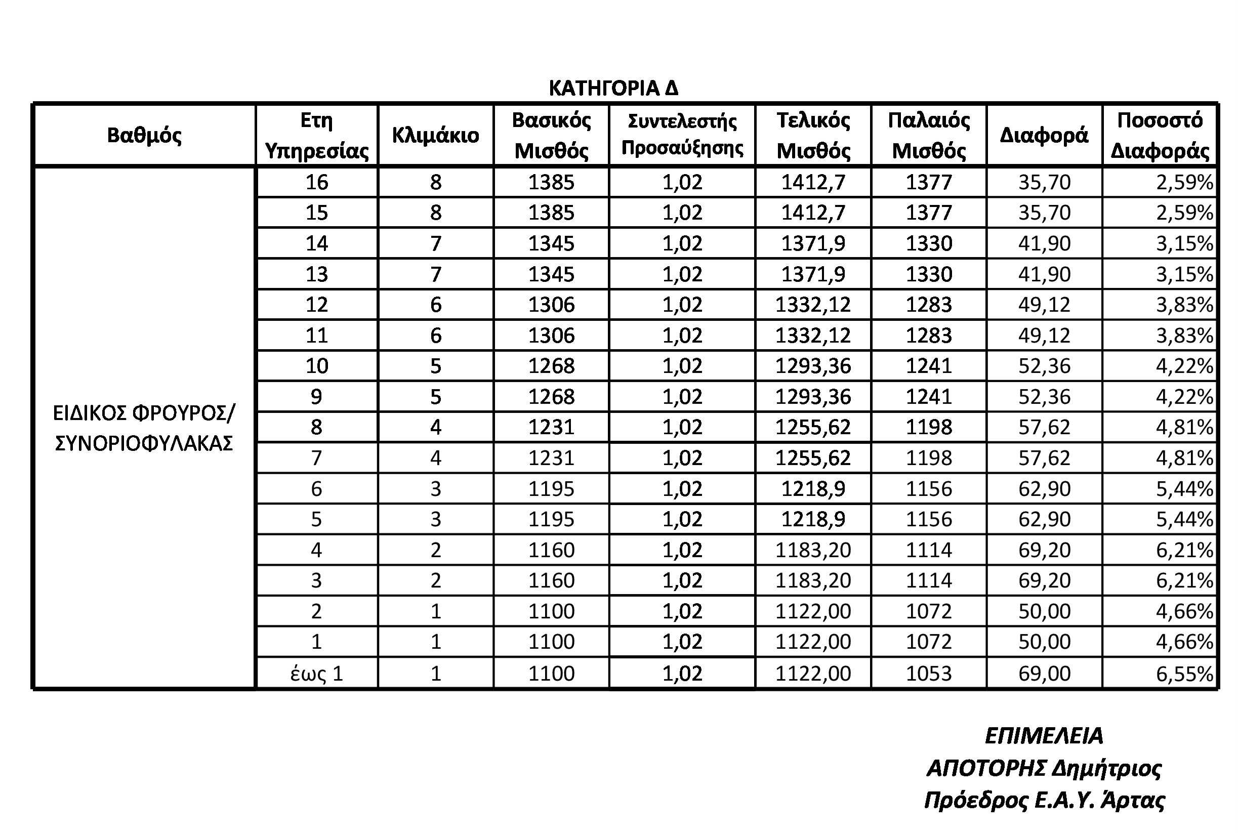
Οι πίνακες που παρατίθενται αποτυπώνουν με ρεαλιστικό τρόπο το προτεινόμενο αναβαθμισμένο μισθολόγιο για το προσωπικό της Ελληνικής Αστυνομίας. Η δομή τους έχει σχεδιαστεί με γνώμονα τη φυσιολογική βαθμολογική εξέλιξη των Αστυνομικών, ώστε να αποτυπώνονται με σαφήνεια οι βασικοί μισθοί που προκύπτουν σε κάθε βαθμό και κατηγορία.
Με την παράθεση των διαφορών ανάμεσα στους παλιούς και τους νέους βασικούς μισθούς, αλλά και της ποσοστιαίας μεταβολής, καταρρίπτονται οι ισχυρισμοί της Κυβέρνησης περί αυξήσεων της τάξεως του 13% έως 20%. Οι αριθμοί μιλούν από μόνοι τους, δείχνοντας ότι οι πραγματικές αυξήσεις είναι σαφώς χαμηλότερες.
Διαβάστε επίσης
Αξιοσημείωτο είναι, επίσης, ότι σε ορισμένους βαθμούς και κατηγορίες, όπως για παράδειγμα στον βαθμό του Υπαστυνόμου Β΄ της Γ΄ κατηγορίας, δεν προκύπτουν αυξήσεις αλλά αντίθετα μειώσεις, γεγονός που καταδεικνύει την ανάγκη για ουσιαστική αναθεώρηση του μισθολογίου.
Ιδιαίτερη σημασία έχει και το χάσμα που παρατηρείται στις απολαβές μεταξύ της Α΄ και της Β΄ κατηγορίας. Η Β΄ κατηγορία, που αποτελεί τη ραχοκοκαλιά της Αστυνομίας και επωμίζεται το κύριο βάρος της καθημερινής αστυνόμευσης, βλέπει τώρα την ψαλίδα στις μισθολογικές αποδοχές να ανοίγει σημαντικά σε σχέση με την Α΄ κατηγορία. Το γεγονός αυτό εντείνει την αίσθηση αδικίας και δημιουργεί πρόσθετες ανισορροπίες στο εσωτερικό του Σώματος.
Οι πίνακες αυτοί δεν αποσκοπούν μόνο στην καταγραφή αριθμών, αλλά αποτελούν εργαλείο ενημέρωσης και διαφάνειας, με στόχο να ενισχύσουν τον διάλογο για ένα δίκαιο μισθολόγιο που να ανταποκρίνεται στις ανάγκες και τις ευθύνες των Αστυνομικών.
ΑΠΟΤΟΡΗΣ Δημήτριος
Πρόεδρος Ένωσης Αστυνομικών
Υπαλλήλων Άρτας







